我的世界死亡不掉落指令怎么输入

admin4年前 (2021-11-19)生活知识571
我的世界死亡不掉落指令怎么输入
我的世界死亡不掉落指令怎么输入我的世界死亡不掉落指令怎么输入在游戏界面,回车,输入“/gamerule keepInventory true”,回车。显示输入后按回车键会显示游戏规则keepInven...

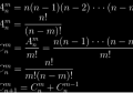
排列组合中的C和A怎么算

admin4年前 (2021-11-19)生活知识630
排列组合中的C和A怎么算
排列组合中的C和A怎么算排列:A(n,m)=n×(n-1)...(n-m+1)=n!/(n-m)!(n为下标,m为上标,以下同)组合:C(n,m)=P(n,m)/P(m,m) =n!/m!(n-m)!...

车险哪家保险公司好?十大车险公司排名

admin4年前 (2021-11-19)生活知识695
车险哪家保险公司好?十大车险公司排名
车险哪家保险公司好?十大车险公司排名一、中国车保险公司十大排名:1、中国平安:是拥有最全面的牌照的一家保险公司;2、中国人寿:是中国资本市场最大的机构投资者之一,世界品牌500强企业;3、太平人寿:是...

左眼跳是什么兆头

admin4年前 (2021-11-19)生活知识469
左眼跳是什么兆头
左眼跳是什么兆头左眼皮跳是眼睑痉挛引起的,可能休息不好、最近太紧张、缺乏维生素等造成的。左眼皮跳在我们中国传统文化里认为是左眼跳财右眼跳灾,但实际上在我们眼科大夫眼里,左眼跳主要是跟眼睑痉挛有关系,那...

身份证号码的数字代表什么意义

admin4年前 (2021-11-19)生活知识554
身份证号码的数字代表什么意义
身份证号码的数字代表什么意义身份证号码是由18位数字组成的,他们分别表示:1、前1、2位数字表示:所在省份的代码。2、前3、4位数字表示:所在城市的代码。3、前5、6位数字表示:所在区县的代码。4、第...

有限公司和有限责任公司的区别是什么

admin4年前 (2021-11-19)生活知识505
有限公司和有限责任公司的区别是什么
有限公司和有限责任公司的区别是什么有限责任公司和股份有限公司主要有八个区别。一、承担责任的方式有限责任公司:出资人以其出资额对公司承担有限清偿责任;股份有限公司:股东以其认购的股份对公司的债务负责,公...

十四五规划是哪一年到哪一年

admin4年前 (2021-11-19)生活知识568
十四五规划是哪一年到哪一年
十四五规划是哪一年到哪一年十四五规划实施时间是2021年-2025年。“十四五”时期是我国全面建成小康社会、实现第一个百年奋斗目标之后,乘势而上开启全面建设社会主义现代化国家新征程、向第二个百年奋斗目...

什么是BA职位?BA职位的职责有哪些

admin4年前 (2021-11-19)生活知识662
什么是BA职位?BA职位的职责有哪些
什么是BA职位?BA职位的职责有哪些BA(Business Analyst)就是业务分析师,在IT公司里,BA的角色就是PM(产品经理),叫BA是因为这类PM要承接某个很具体的业务或者领域。比如银行也...

javbus为什么上不去的原因

admin4年前 (2021-11-19)生活知识10936
javbus为什么上不去的原因
javbus为什么上不去的原因1、打开电脑后选择体统自带IE浏览器,打开浏览器在主界面右上部分区域找到并点击“打开菜单”,然后在打开的面板中找到并选择“工具”选项里面的“服务器”一栏。2、点击打开弹窗...

淘特卖的东西是正品吗?

admin4年前 (2021-11-18)生活知识530
淘特卖的东西是正品吗?
淘特卖的东西是正品吗?淘特上面的东西还是比较靠谱的,不过需要认准官方正品,因为淘特是淘宝特价版,之所以这么便宜主要是因为定位模式和淘宝有所区别,低价走量,跟拼多多一样的。用过的朋友应该都知道淘特购物模...